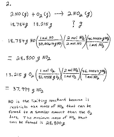
Here is how you go about finding out how much NO
2
can be formed from 18.784 g of NO and 13.215 g of O
2
in the chemical reaction
2NO(g) + O
2
(g) ----------> 2NO
2
(g)